Method estimates the moisture content of the filament. Dry the filament and measure the mass after same time interval.
Required hardware:
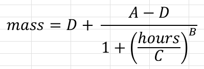
This tool fits a 4-parameter logistic (4PL) equation to the measured data points (see image 1).
Once the parameters of the function are known, it becomes possible to predict the drying behavior beyond the measured time range, even after the measurements have stopped.

The parameter D represents the asymptotic value of the curve at infinite time, which corresponds to the theoretical perfectly dry mass of the filament.
Using this value, the moisture content of the filament can be calculated.

On next page, you can also enter a desired moisture level, and the tool will calculate the estimated time required to reach that moisture.
Important notice: the calculated moisture represents an average value for the entire filament (including the spool).
In reality, the outer layers of the filament will always dry faster than the inner layers. Therefore, when working with moisture-sensitive filaments, it is recommended to print directly from the filament dryer.
0.
Skipped points will be ignored in the fitting, but the time axis will remain correct.Time interval between measurements (hours)
Enter the time step between consecutive lines:
1 → measurements every 1 hour (recommended for longer drying)
0.5 → measurements every 30 minutes
0.25 → measurements every 15 minutes
If you find this tool useful, feel free to use it freely, free of charge.
If you would still like to support my work, you can do so here:
© 2026 Dr. Igor Gaspar. Developed with assistance of ChatGPT-5 mini.
Libraries used: numeric.js,
Chart.js v4